Persamaan simpangan gelombang images are ready in this website. Persamaan simpangan gelombang are a topic that is being searched for and liked by netizens today. You can Get the Persamaan simpangan gelombang files here. Get all royalty-free photos and vectors.
If you’re looking for persamaan simpangan gelombang pictures information connected with to the persamaan simpangan gelombang interest, you have visit the ideal blog. Our site frequently provides you with suggestions for viewing the highest quality video and image content, please kindly hunt and locate more enlightening video content and images that fit your interests.
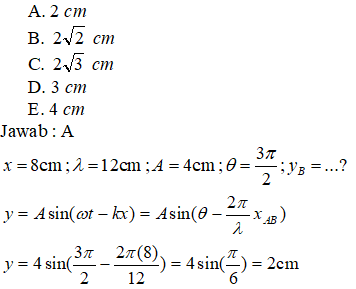
Persamaan Simpangan Gelombang.
F301 Gelombang Persamaan Gelombang Umum Persamaan Diferensial Youtube From youtube.com
Source: fisikahepi.hepidev.com
Source:
Source: gurumuda.net
Source: slidetodoc.com
Source: rumushitung.com
Source: fisikahepi.hepidev.com
Source: haris1970.blogspot.com
Source: gurumuda.net
Source: quipper.com
Source: studyassistant-id.com
Source: studyassistant-id.com
This site is an open community for users to submit their favorite wallpapers on the internet, all images or pictures in this website are for personal wallpaper use only, it is stricly prohibited to use this wallpaper for commercial purposes, if you are the author and find this image is shared without your permission, please kindly raise a DMCA report to Us.
If you find this site helpful, please support us by sharing this posts to your favorite social media accounts like Facebook, Instagram and so on or you can also bookmark this blog page with the title persamaan simpangan gelombang by using Ctrl + D for devices a laptop with a Windows operating system or Command + D for laptops with an Apple operating system. If you use a smartphone, you can also use the drawer menu of the browser you are using. Whether it’s a Windows, Mac, iOS or Android operating system, you will still be able to bookmark this website.





